Unlocking the Power of ER Diagrams in DBMS: Examples and Benefits to Enhance Your Data Management
Learn about ER diagrams in DBMS with examples. Understand how entities, relationships and attributes are represented in a visual format.
Are you struggling to visualize the relationships between entities in your database? Look no further than an ER diagram! An ER diagram, or entity-relationship diagram, is a powerful tool used in database management systems to visually represent the complex relationships between tables. With its intuitive symbols and straightforward design, an ER diagram simplifies even the most complicated database structures. For example, by using an ER diagram, you can easily see how a customer's order is linked to their shipping address and payment method. In this article, we'll explore some real-life examples of ER diagrams in DBMS and explain how they can benefit your data management system.
Introduction to ER Diagrams: Understanding the Concept of Entity-Relationship (ER) Diagrams in DBMS
One of the key components of database management systems (DBMS) is the ability to create and manage databases. However, designing a database can be a complex process that requires careful planning and attention to detail. This is where entity-relationship (ER) diagrams come in. ER diagrams are visual representations of the relationships between different entities in a database, making it easier to understand the structure of the database and how data is organized.Components of an ER Diagram: The Different Elements that Make Up an ER Diagram and Their Significance
ER diagrams consist of several components, each of which plays a crucial role in understanding the relationships between entities in a database. The main components of an ER diagram include entities, attributes, and relationships.Entities are objects or concepts in the real world that are represented by tables in a database. Attributes are characteristics of these entities, such as names, addresses, and phone numbers. Relationships describe the connections between different entities in a database, such as a customer placing an order.The Importance of ER Diagrams: How ER Diagrams Can Help You Design Better Databases
ER diagrams provide a clear and concise way to visualize the relationships between different entities in a database. This makes it easier to design and maintain databases, as well as to identify potential issues or areas for improvement. By using an ER diagram, you can ensure that your database is well-organized and easy to navigate, which can save time and reduce errors in data entry and retrieval.Types of Relationships in ER Diagrams: One-to-One, One-to-Many, and Many-to-Many Relationships and Their Characteristics
There are three main types of relationships in ER diagrams: one-to-one, one-to-many, and many-to-many. In a one-to-one relationship, each entity in one table is associated with only one entity in another table. In a one-to-many relationship, each entity in one table can be associated with multiple entities in another table. In a many-to-many relationship, multiple entities in one table can be associated with multiple entities in another table.Creating an ER Diagram: Step-by-Step Guide to Creating an ER Diagram for Your Database
To create an ER diagram for your database, you will need to follow several steps. First, identify the entities in your database and the relationships between them. Next, determine the attributes of each entity and their relationships to other entities. Finally, use a graphical tool to create your ER diagram, including all entities, attributes, and relationships.Cardinality Notations: Understanding How to Interpret the Cardinality Notations in an ER Diagram
Cardinality notations are used in ER diagrams to represent the relationships between entities. These notations include symbols such as one, many, zero or one, and zero or many. One-to-one relationships are represented by a straight line connecting two entities, while one-to-many relationships are represented by a line with an arrow pointing from the one entity to the many entity.Common Mistakes to Avoid when Creating an ER Diagram: Common Errors to Watch Out for When Designing Your ER Diagram
When creating an ER diagram, there are several common mistakes that you should avoid. These include failing to identify all relevant entities and relationships, using inconsistent naming conventions, and forgetting to include attributes or relationships that are necessary for the database to function properly. To avoid these errors, it is important to carefully plan your ER diagram and to review it thoroughly before implementing it in your database.Benefits of ER Diagrams: How ER Diagrams Simplify the Process of Database Design and Maintenance
ER diagrams provide several benefits when designing and maintaining databases. They make it easier to visualize the structure of the database and to identify potential issues or areas for improvement. They also help to ensure that the database is well-organized and easy to navigate, which can save time and reduce errors in data entry and retrieval. Additionally, ER diagrams can help to improve collaboration between team members and stakeholders, as they provide a clear and concise way to communicate the structure of the database.ER Diagram Examples: Useful Examples of ER Diagrams to Help You Visualize Database Design Concepts
There are many useful examples of ER diagrams available online that can help you visualize database design concepts. These diagrams may include different types of entities and relationships, as well as various attributes and cardinality notations. By studying these examples, you can gain a better understanding of how ER diagrams work and how they can be used to design effective databases.ER Diagrams for Complex Databases: Tips and Tricks for Creating ER Diagrams for Databases with More than One Entity or Relationship
Designing an ER diagram for a complex database can be challenging, as it may involve multiple entities and relationships. To create an effective ER diagram for a complex database, you should start by identifying all relevant entities and relationships and determining their attributes. You should also use consistent naming conventions and cardinality notations to ensure clarity and consistency throughout the diagram. Additionally, it can be helpful to break down the diagram into smaller, more manageable sections to make it easier to understand and maintain.Once upon a time, in the world of database management, there was a powerful tool called ER Diagram. This tool had the ability to simplify complex data structures and relationships into a visually appealing format that made it easy for users to understand.
As the name suggests, ER Diagram stands for Entity Relationship Diagram. It is a graphical representation of entities and their relationships to each other. ER Diagrams are widely used in the field of database management and are an essential part of the design process.
Let's take a look at some examples of how ER Diagrams are used in DBMS:
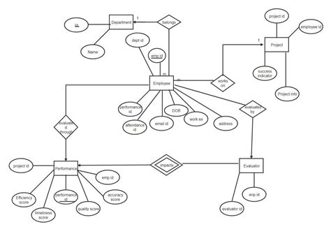
Example 1: Employee Management System
In an employee management system, we can use ER Diagrams to represent the relationships between employees, departments, and projects. Here is an example:
- Entities: Employee, Department, Project
- Relationships:
- An employee belongs to one department
- A department has many employees
- A project is assigned to one department
- A department can have many projects
- An employee can work on many projects
- A project can have many employees working on it
Using an ER Diagram, we can easily visualize these relationships and understand the structure of the database.
Example 2: Online Shopping System
In an online shopping system, we can use ER Diagrams to represent the relationships between customers, products, and orders. Here is an example:
- Entities: Customer, Product, Order
- Relationships:
- A customer can place many orders
- An order is placed by one customer
- An order contains many products
- A product can be in many orders
Using an ER Diagram, we can easily visualize these relationships and understand the structure of the database.
Point of View about ER Diagram In DBMS Examples
In my opinion, ER Diagrams are an essential tool in the field of database management. They allow us to visualize complex data structures and relationships in a way that is easy to understand. Without ER Diagrams, designing a database would be much more difficult and time-consuming.
Furthermore, ER Diagrams are not only useful for designers and developers but also for stakeholders who need to understand the structure of the database. By using an ER Diagram, they can easily see how entities are related to each other and how data flows through the system.
Overall, ER Diagrams are a powerful tool that helps us design and manage databases more effectively. They are an essential part of the DBMS process and make it easier for us to understand complex data structures.
Thank you for joining me on this journey of exploring ER diagrams in DBMS examples. From the very beginning, we looked at what an ER diagram is and how it helps with database design. We then delved into the various components of an ER diagram, including entities, attributes, relationships, and cardinality. Finally, we saw how to convert the ER diagram into a relational schema.
As you can see, ER diagrams are an essential tool for anyone involved in database design and management. With their ability to depict complex relationships between entities and attributes, they make it easier to see the big picture of a database and plan accordingly. Additionally, ER diagrams can help identify potential issues with data integrity and consistency, leading to a more robust and reliable database.
Whether you're just starting out in the world of database design or are a seasoned pro, ER diagrams are a valuable asset to have in your toolkit. By using them effectively, you can create databases that are both efficient and effective, ensuring that your data is always accurate and up-to-date. So, I encourage you to continue exploring ER diagrams and their applications, and I wish you all the best in your future endeavors!
Video Er Diagram In Dbms Examples
Visit Video
When it comes to database management systems, ER diagrams are an essential tool for designing and understanding the relationships between data elements. Here are some common questions that people ask about ER diagrams in DBMS, along with their answers:
1. What is an ER diagram in DBMS?
An Entity-Relationship (ER) diagram is a graphical representation of entities and their relationships to each other within a database. It's used to illustrate the design of a database schema and identify the relationships between various tables.
2. What are the benefits of using an ER diagram in DBMS?
- Helps to visualize the entire database structure
- Aids in identifying the relationships between different entities
- Assists in identifying keys and attributes for entities
- Helps to normalize the database structure
- Facilitates communication between developers and stakeholders
3. What are the components of an ER diagram in DBMS?
The main components of an ER diagram include:
- Entities: These represent the objects or concepts within the database.
- Attributes: These are the properties or characteristics of the entities.
- Relationships: These define the connections or interactions between entities.
- Cardinality: This refers to the number of instances of an entity that can be associated with another entity.
- Keys: These are unique identifiers for each entity.
4. What are some examples of ER diagrams in DBMS?
Examples of ER diagrams include:
- A customer order system, where customers place orders for products and those orders are associated with specific products and delivery addresses.
- A student enrollment system, where students enroll in courses and those courses are associated with specific instructors, schedules, and prerequisites.
- A hospital patient management system, where patients are associated with specific doctors, diagnoses, treatments, and medications.
5. How do you create an ER diagram in DBMS?
To create an ER diagram, you can use a tool such as Lucidchart or draw.io that provides pre-built templates and shapes for entities, attributes, and relationships. Alternatively, you can sketch out the diagram on paper or a whiteboard and then transfer it to a digital format.
Overall, ER diagrams are a critical tool in database design and management, helping to ensure that data is organized, normalized, and easily understood by all stakeholders.
